| |
|
〔摘要〕論述了作戰效能評估在裝備全壽命周期各個階段的重要作用,并根據工程裝備任務和功能的特點,探討了工程裝備作戰效能評估的研究方法。
關鍵詞:工程裝備 計算模型 作戰效能評估
1概述
隨著新軍事變革不斷發展和國家安全環境面臨復雜多變的局面,軍隊對武器裝備的要求越來越高。高技術武器裝備開發的特點是:開發周期長、費用大、風險高,按照傳統武器裝備采辦方法,現代武器的開發時間和開發成本呈級數上升的趨勢。因此,必須改變傳統采辦方式,有效降低武器系統的開發時間、開發成本和最大限度的回避風險。
為了縮短從提出新的武器概念到新武器裝備形成戰斗力的周期、減小武器裝備采辦經費和風險,20世紀90年代末期,美國防部將建模與仿真技術視為進行采辦改革的關鍵技術
之一,使建模與仿真作為一種資源,對采辦實施全過程的決策支持。武器裝備作戰效能評估、費用及風險分析研究是軍事建模與仿真技術的基本組成和重要研究內容,對武器裝備在全壽命周期各個階段的決策都起著重要支持作用。尤其是在裝備論證階段,已成為一項必不可少的研究內容。在裝備論證和軍事系統工程領域,對武器裝備作戰效能評估的研究始終都極為重視,并取得許多研究成果。但在實際應用上,還存在一些不足和不一致之處,從而限制其廣泛應用。而對工程裝備,由于自身的特點還需要進行多方面的深入研究。當前存在的主要問題有:
關于作戰效能含義的解釋尚不統。作戰效能是武器裝備系統分析的基本概念,裝備作戰效能評估是武器裝備系統分析的項基本研究工作。但目前有關裝備系統的作戰效能的含義有多種理解和解釋,評估的方法也各不相同。
對主戰裝備作戰效能評估研究多,而對保障裝備研究少。特別對硬殺傷裝備研究多,對軟殺傷裝備、C3I系統和保障裝備研究少。
對保障裝備作戰效能評估,從裝備自身范圍研究多,而從聯合作戰總體上研究少;在保障裝備自身范圍內,研究種類裝備多,而研究裝備系統少。
適應現代作戰,特別是信息化條件F作戰的研究成果少。從作戰樣式的描述、裝備作戰效能評估準則以及主要算法大多是以機械化作戰為背景。
I.1作戰效能的含義
日前,有的把系統效能看作為作戰效能;也有的強調作戰效能是運用裝備系統的兵力效能,既指在規定的條件下,運用裝備系統的作戰兵力執行規定的作戰任務時,所能達到預期目標的程度;還有的認為裝備作戰效能是指武器裝備在對抗條件下發揮出來的作戰能力等綜合來看,裝備作戰效能強調的是武器裝備在作戰使用時發揮的效能,既從使用概念的角度或是在一定的作戰背景下來評價裝備系統,外軍也有稱之為使用效能這里所指的使用概念包括武器裝備和人的結合以及戰術、使用原則、編制和戰場環境等。
1.2作戰效能評估
評估指標。為對不同的武器裝備體系和系統的方案進行分析、比較,需要確定量度的指標。武器裝備作戰效能評估指標與作戰任務緊密相關,因此也具有相應的特點〔如:指標要反映作戰的最終目的,作戰目的不同,其效能評價指標也不同;指標要反映作戰的隨機性,多用具有概率性質的數字特征來表示;指標要反映作戰的復雜性,具有層次性和多樣性。通常,作戰結果是用人員和裝備毀傷程度來衡量的,常用的作戰效能主要指標如表1
評估方法。武器裝備系統作戰效能評估是在一定的作戰背景下,結合一定的作戰任務進行的,作戰仿真是除實戰檢驗之外最為有效的方法和手段,因此通常使用作戰仿真方法來計算作戰效能指標.
工作步驟。裝備系統作戰效能評估通常按下述步驟進行:
a.分析任務和目標。進行裝備作戰效能評估,首先要詳細描述裝備的任務、目標和
作戰使用的環境條件。為了準確描述其任務、目標和作戰使用的環境條件,應該確定裝備的任務剖面。
b.確定評估要素。分析、研究作戰效能的構成要素。通常,武器裝備作戰效能由兩大類要素描述,既戰斗效果、資源損耗。戰斗效果包括:對敵人員和裝備毀傷、進攻推
進提高、防御時間延長等;資源損耗包括:己方人員和裝備毀傷、彈藥消耗等。
c.確定評估指標。分析、確定作戰效能構成要素的定量表示。山于裝備系統使用目
的多重性,正確地選擇裝備作戰效能評估指標既是一件重要的工作,也是一件困難的工作。同樣,由于武器裝備本身的復雜性和作戰運用的多樣性,作戰效能評估指標作為武器裝備系統的評價標準,通常是由一組指標構成的。正確地選擇效能指標是裝備效能分析的關鍵步驟,要根據任務和目標以及效能分析的目的來選擇。
d.建立評估模型。根據評估指標建立計算模型。
e.分析與評價。根據作戰效能評估的目的進行分析與評價。
2工程裝備系統作戰效能評估要素分析
2.1工程保障任務分析
工程裝備屬于戰斗保障裝備,用于完成作戰上程保障任務,其任務性質和目的是通過使用工程裝備實施各種工程措施保障聯合作戰任務的完成。因此,對其完成作戰任務程度的量度,不僅要評估其完成上級下達的_I=程保障任務的程度;同時,還要評估其對完成聯合作戰任務的影響、作用。可見,工程裝備作戰效能評估分析分兩個層次進行。一是在作戰工程保障任務層次上,要對運用工程裝備系統,完成規定的工程保障任務程度進行評估分析;二是在聯合作戰任務層次上,對完成整個作戰任務戰果的影響程度進行評估分析。由此,工程裝備作戰效能的評估要素由兩大類構成:一類是工程裝備系統完成自身工程保障任務程度的度量,可稱為保障度類,屬直接評估要素;另一類是工程裝備系統對完成聯合作戰任務戰果的影響、作用程度的度量,可稱為貢獻度類,屬最終評估要素。
2.2保障度類評估要素分析
保障度類評估要素屬直接評估要素。因此,其評估要素與一般武器裝備作戰效能評
估要素相同,也有戰斗效果、資源損耗兩類評估要素。工程裝備系統是完成作戰工程保障任務的物質基礎,由多種類型的工程裝備構成,完成不同類型的工程保障任務。而工程保障任務又有自身特點,各種工程保障任務是根據各階段作戰行動的需要而適時進行的,在作戰時序上,各種工程保障行動是不連續的:另外,工程保障任務的屬性多為作業性質,而且大多屬于非對抗性。從整個工程裝備系統分析,除地雷裝備具有直接毀傷作用,大多數工程裝備的戰斗效果不能用直接毀傷效果來衡量,只能用完成規定任務程度度量。對于地雷裝備,其直接毀傷效果在總的作戰毀傷中反映。因此,工程裝備系統保障度評估要素包括,完成任務程度的期望值、完成任務時間、工程裝備毀傷程度等。
2.3貢獻度類評估要素分析
由于工程保障任務的作戰目的是保障己方機動、遲滯敵方機動、提高己方生存力,對完成聯合作戰任務程度的最終評估要素與通常作戰效能評估要素相同是:推進速度、雙方主戰裝備毀傷程度、戰損比等。在對多種裝備方案進行對比時,貢獻度類評估要素是上述要素的變化度。
3工程裝備系統作戰效能評估模型
3.2工程裝備系統作戰效能評估指標體系
根據上述評估要素分析,可建立如表2列出的評估指標體系。
需要說明的是,裝備系統作戰效能指標主要用于不同類型武器裝備系統或不同編配方案的對比方面,而其絕對值往往并小具有實際意義。
3.2工程裝備系統作戰效能評估指標計算模型
(1)作戰保障度。從上述分析可知,工程裝備系統作戰效能的直接評估要素是工程保障任務完成程度、完成任務時間、主要工程裝備的毀傷率。在不同方案對比時,給定相同的完成任務時間,建立工程裝備作戰保障度作為其作戰效能直接評估指標,工程裝備作戰保障度是反映作業效果和裝備消耗的綜合性指標。工程裝備作戰保障度用下式表示:
H=E/S
式中,H為工程裝備作戰保障度;E為工程保障任務完成率;S為工程裝備的毀傷率。
(2) 工程保障任務完成率E。由于作戰工程保障任務包括使用多種類型的工程裝備,完成不同類型的工程保障任務,工程保障任務完成率E,根據其完成各戰斗階段的各種工程保障任務完成率Ei來計算,即有
式中,Ei為各戰斗階段的各種工程保障任務完成率;wi為各種工程保障任務完成率的權重系數。
通常,戰斗階段可分為戰斗準備階段和戰斗實施階段,每個戰斗階段又有各種具體的工程保障任務,如:開辟通路、布雷、構筑急造軍路、架設橋梁、構筑指揮所等。我們可以分別計算各項工程保障任務完成率E;,并分別確定其權重系數wi,即可求得工兵分隊的工程保障任務完成率E。本課題主要考慮戰斗實施階段的工程保障任務,如:直前破障、敷設路面器材、克服道路障礙、架設橋梁、布雷、構筑指揮所等。
而各項工程保障任務完成率Ei為
式中,Roi為某項工程保障任務作業量; Ri為在給定時間內完成的作業量。
(3)工程裝備的毀傷率Sg
式中,Ns為工程裝備總毀傷數;No為工程裝備總數量。
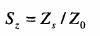
(4)主戰裝備毀傷率Sz。由于不同的武器裝備其作戰能力及對作戰的貢獻各不相同,因此在評估主戰裝備效能時,不能簡單地進行數量統計,而采用武器裝備作戰能力指數來進行統計計算。
式中,Zi為主戰裝備作戰能力指數總毀傷數;Zo為主戰裝備作戰能力指數總數量。
式中,Zi為第i種裝備的單件作戰能力指數:Ni為第i種裝備的數量;
M為武器裝備種類數。
式中,Ns為第i種裝備的毀傷數
5)毀傷交換率J
式中,Zs為藍方主戰裝備作戰能力指數總毀傷數;Zs紅為紅方主戰裝備作戰能力指數總毀傷數
6)推進速度
7)工程裝備作戰貢獻度。如上所述,在對多種裝備方案進行對比時,工程裝備系統對完成聯合作戰任務程度的貢獻度類評估要素是:提高推進速度、提高敵方主戰裝備毀傷程度、降低已方主戰裝備毀傷程度及提高戰損比等。為便于綜合比較,亦可建立工程裝備作戰貢獻度作為綜合評估上程裝備系統對聯合作戰貢獻程度的指標。
式中,G為f程裝備作戰貢獻度:T分別為不同方案推進速度提高率·敵方主戰裝備毀傷提高率、已方主戰裝備毀傷降低率、戰損比提高率;Wi分別為各不的權重系數,其值根據聯合作戰的目的確定。
8)工程裝備作戰效能指數。在不同方案對比時,為便于綜合比較,建立工程裝備作戰效能指數作為綜合評估工程裝備系統作戰效能的指標。
X=H *G
式中,X為工程裝備系統作戰效能指數。
4聯合作戰工程保障仿真系統
由于很難進行實兵、實裝檢驗,武器裝備系統作戰效能評估研究主要依托作戰仿真系統,以仿真系統為實驗平臺.只有在極特殊的情況下,才有可能進行實物試驗驗證。因此作戰仿真系統是開展武器裝備作戰效能評估研究的基本手段和必備條件。為此,需要在工程裝備論證通用仿真環境下開發研制各種聯合作戰工程保障仿真系統。
4.1研制目的
開發研制聯合作戰工程保障仿真系統的目的是:在聯合作戰背景下,進行工程兵分隊遂行工程保障任務仿真,為研究工程裝備系統作戰效能,提供技術支撐。
4.2技術體制
仿真體系結構。聯合作戰工程保障仿真系統采用分布式仿真技術的高層體系結構HLA,包括:規則(IEEE-P1516 );接照規范(IEEE-P I 516.1):對象模型模板IEEE-P1516.2
(2)軟件工程。采用面向對象技術。
(3)開發平臺。
硬件平臺:PIII650, 256MB內存、32MB顯存、20硬盤、100MB網卡;
操作系統:Windows NT 4.0/ Windows 2000;
開發語言:Visual C++ 6.0;
運行支撐軟件:KD-RTI;
對象模型模板:KD-OMDT o
4.3聯邦組成
聯合作戰工程保障仿真聯邦由紅方仿真成員、藍方仿真成員、戰場環境方和管理控制方4類仿真成員、仿真運行支撐環境及資源庫組成。
